Abstract
Introduction: Myeloid Derived Suppressive Cells (MDSC) constitute a heterogeneous population of immature myeloid cells characterized by their capacity to suppress innate and adaptive immune responses. As such, they have been proven, in solid tumors, to modulate malignancy by increasing tumor cell survival, angiogenesis, metastasis and tissue invasion. By contrast, reports on the role of MDSC in either acute myeloid (AML) or lymphoid (ALL) leukemias are very limited with unknown established impact on long-term outcomes.
Patients and Methods: This monocentric prospective study included all adult patients eligible for first-line intensive chemotherapy for AML or ALL. The main objective was to investigate the presence of peripheral blood monocytic MDSC at diagnosis and after induction in such patients and to correlate their levels to complete remission (CR/CR with incomplete platelet recovery), cytologic relapse, leukemia-free (LFS) and overall (OS) survivals. Monocytic MDSCs were defined as CD15- CD34- CD16- CD14+ CD33+ CD11b+ DR-/low cells and assessed in a lysis-no-wash flow cytometry technique. Data acquisition was performed on a Navios® flow cytometer (Beckman Coulter, Miami, FL). MDSC were expressed as a percentage (%) of total nucleated cells defined as CD45+. MDSC% were compared to those of 21 healthy controls. The study was registered at the French Commission Nationale de l'Informatique et des Libertés as CNIL 2016-038. All patients gave informed consent. Analyses were performed in July 2021.
Results: Between October 2017 and March 2021, 73 AML and 14 ALL were enrolled (Table 1). The median MDSC% in controls was 0.24% (range: 0.02-1.21). This % was significantly higher in AML compared to ALL (0.19% (range: 0-0.54) vs 0.14% (range: 0-0.35), p=0,01) and differed significantly from controls in ALL (p=0.0004) but not in AML (p=0.94). MDSC% after chemotherapy induction were available for 61 AML and 13 ALL at medians of 37,5 and 37 days, respectively. At that time, median MDSC% were similar between AML (0.84%, range: 0-28) and ALL (0.97%, range: 0-4.75) patients (p=0.52) but significantly higher than in controls for AML patients (p=0.001; ALL p=0.07).
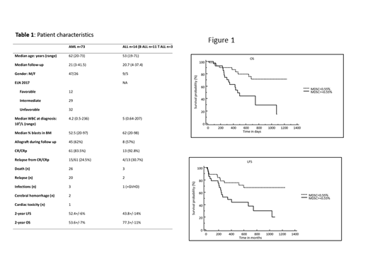
AML: MDSC% were not correlated to any other factors, especially ELN2017 classification (p=0.79). ROC curves for LFS established the threshold of 0,55% of MDSC at diagnosis as the best cut-off for analyses. MDSC% (< vs >0,55%) was not predictive of CR/CRp (86.6% n=39/45 vs 78.5% n=22/28, p=0.56). However, 2-year LFS (67.7+8% vs 30.1+10%, p=0.005) and 2-year OS (71.5+8% vs 30.1+10%, p=0.001). (Figure 1) were significantly higher for patients with low MDSC% (<0.55%). The incidence of cytologic relapse after achieving CR/CRp was significantly lower in these low MDSC% patients (12.8% n=5/39 vs 45.4% n=10/22, p=0.01). The median percentage of MDSC increased significantly between diagnosis (0,19%) and post-induction (0,84%; p=0.001). Median post-induction MDSC% were similar between patients achieving CR/CRp (0.9%, n=53 evaluable) vs others (0.44%, n=8 evaluable, p=0.34). No impact on relapse incidence nor on LFS and OS was observed when comparing patients based on the median post-induction level of MDSC and ROC curves did not identify thresholds able to predict LFS or OS using MDSC% post-induction.
Multivariate analysis confirmed the independent prognostic value of MDCS% at diagnosis for AML patients (LFS p=0.026, HR 3.6, 95%CI 1.88-6.91; OS p=0.02-, HR 2.6, 95%CI 1.11-5.95) together with ELN 2017 classification (LFS p=0.0001, HR 2.34, 95%CI 1.10-4.97; OS p=0.01, HR 2.57, 95%CI 1.18-4.11).
ALL: MDSC% at diagnosis were not predictive of response as 13/14 patients achieved CR/CRp after induction. The percentage of MDSC increased significantly between diagnosis (0.14%) and post- induction (0.97%; p=0.002). Again, this had no consequence on relapse incidence in CR/CRp patients nor on LFS and OS when comparing patients based on median post induction MDSC%.
Discussion: This study evidenced that a higher percentage of peripheral monocytic MDSC at diagnosis predict lower survivals in AML patients because of more relapse. This result has to be confirmed on larger cohorts as it may implicate to propose immune intervention before or in combination with chemotherapy to improve these patients' outcome. Indeed, these cells seem to be an independent biomarker and potentially promising targets for the development of novel therapeutic strategies.
Moreau: Sanofi: Honoraria; Amgen: Honoraria; Celgene BMS: Honoraria; Janssen: Honoraria; Abbvie: Honoraria; Oncopeptides: Honoraria.

This feature is available to Subscribers Only
Sign In or Create an Account Close Modal